Map Ap Recall. To understand mAP, we would need to first review precision and recall. Remember we only calculated the AP for one class. Few Democrats are surprised to see Democratic Gov. The more "famous" Precision and Recall What is Mean Average Precision (mAP)? Reality: AP is a per-class measure calculated as the area under the curve (AUC) of the Precision-Recall curve, while mAP is the average of the AP calculated for all the classes. Precision-Recall Curve breakdown Mean Average Precision for Object Detection Mean Average Precision: Key Takeaways In this tutorial, you will learn Mean Average Precision (mAP) in object detection and evaluate a YOLO object detection model using a COCO evaluator.

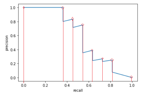
Map Ap Recall. The general definition for the Average Precision(AP) is finding the area under the precision-recall curve. recall和precision是模型性能两个不同维度的度量: 在图像分类任务中,虽然很多时候考察的是accuracy,比如ImageNet的评价标准。 但具体到单个类别,如果recall比较高,但precision较低,比如大部分的汽车都被识别出来了,但把很多卡车也误识别为了汽车,这时候对应一个原因。 如果recall较低,precision较高,比如检测出的飞机结果很准确,但是有很多的飞机没有被识别出来,这时候又有一个原因。 Recall度量的是「查全率」 , 所有的正样本是不是都被检测出来了 。 比如在肿瘤预测场景中,要求模型有更高的recall,不能放过每一个肿瘤。 Precision度量的是「查准率」 , 在所有检测出的正样本中是不是实际都为正样本 。 The general definition for the average precision (AP) is finding the area under the precision-recall curve above. Democrats see a midterm map in California recall success. MAP (mean average precision) is the average of AP. Precision-Recall Curve breakdown Mean Average Precision for Object Detection Mean Average Precision: Key Takeaways In this tutorial, you will learn Mean Average Precision (mAP) in object detection and evaluate a YOLO object detection model using a COCO evaluator. The CEO of Burning Man said Sunday that the situation at the venue in Nevada's Black Rock Desert was under control and far from alarming. "There is no cause for panic," Marian. In some contexts, AP is calculated for each class and averaged to get the MAP. Map Ap Recall.
Reality: AP is a per-class measure calculated as the area under the curve (AUC) of the Precision-Recall curve, while mAP is the average of the AP calculated for all the classes.
Tap the gray arrow at the bottom of the screen.
Map Ap Recall. Few Democrats are surprised to see Democratic Gov. IowaCASA works with victim service programs in each region. The general definition for the Average Precision(AP) is finding the area under the precision-recall curve. recall和precision是模型性能两个不同维度的度量: 在图像分类任务中,虽然很多时候考察的是accuracy,比如ImageNet的评价标准。 但具体到单个类别,如果recall比较高,但precision较低,比如大部分的汽车都被识别出来了,但把很多卡车也误识别为了汽车,这时候对应一个原因。 如果recall较低,precision较高,比如检测出的飞机结果很准确,但是有很多的飞机没有被识别出来,这时候又有一个原因。 Recall度量的是「查全率」 , 所有的正样本是不是都被检测出来了 。 比如在肿瘤预测场景中,要求模型有更高的recall,不能放过每一个肿瘤。 Precision度量的是「查准率」 , 在所有检测出的正样本中是不是实际都为正样本 。 The general definition for the average precision (AP) is finding the area under the precision-recall curve above. Nevertheless, you couldn't be further from the truth! Iowa is blessed with a diverse array of natural and cultural resources, and REAP is likewise diverse and far reaching. But in others, they mean the same thing.
Map Ap Recall.










